FRCA Notes


One Compartment Model


  • A one compartment model consists of a single, well-stirred, homogenous compartment
    • If a single drug dose is given, it is evenly distributed throughout the compartment
    • It is eliminated in an exponential fashion, with a single rate constant for elimination
  • Single compartment models do not occur physiologically

One Compartment Model

Adapted from Physics, Pharmacology and Physiology for Anaesthetists

  • Where:
    • C0 = the 'outside compartment'
    • C1 = central compartment
    • K01 = rate constant for a drug moving from C0 to C1 i.e. rate of administration of the drug
    • K10 = rate constant of elimination for a drug moving from C1 to C0
    • VD = volume of distribution

  • The model is described by a negative exponential curve of plasma concentration vs. time
  • The equation for this in a one compartment model is:
  • C = C0.e-kt

  • Where:
    • C = drug concentration and is the dependent variable
    • C0 = the initial drug concentration (concentration at t = 0)
    • t = time and is the independent variable
    • k = the rate constant for elimination

  • The rate constant 'k' (units: 1/min) is the fraction of the volume of distribution from which drug is removed per unit time
  • The actual volume of from which drug is removed per unit time is clearance (ml/min)
  • As such, clearance is a product of the rate constant 'k' and the volume of distribution: Cl = k.VD
  • We know that the time constant (τ) is 1/k, which can be substituted into the equation making: Cl = VD

  • For any given one compartment model, the volume of distribution and time constant are both constant
  • As clearance is the ratio of these two constants, clearance in a one compartment model must also be constant

  • Taking the equation for the one compartment model:
  • C = C0.e-kt

  • One can then take natural logarithms (Ln) of both sides, and simplify the equation:
  • C = C0.e-kt

    Ln(C) = Ln(C0.e-kt)

    Ln(C) = Ln(C0) + Ln(e-kt)

    Ln(C) = Ln(C0) + (-kt x Ln(e))

    Ln(C) = Ln(C0) -kt


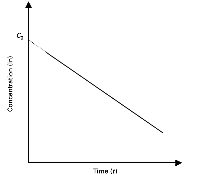
  • This equation describes a linear graph of the form y = mx + c
    • The gradient of the line (m) is represented by '-k'
    • The y-intercept of the line (c) is represented by 'Ln(C0)'
  • As such, a semi-logarithmic plot of ln(concentration) vs. time is linear:

  • Concentration-time  graph

  • If we know the dose of a drug given and its concentration at time zero (C0), we can work out its volume of distribution: VD = dose / C0
  • If we know the volume of distribution, following a single dose of a drug its concentration at time zero is therefore: C0 = dose/VD

  • The amount of drug left in the body declines as a negative exponent in the same way that concentration does: Xt = X.e-kt
  • Therefore the rate of elimination of the drug (in mg/min) is the tangent to this curve, which is found by the differential of Xt and t i.e.
  • dXt/dt = -kXt


  • We know from above that clearance is a product of the rate constant for elimination and volume of distribution (Cl = k.VD)
  • This can be rearranged to show k = Cl/VD, which we can substitue into the above equation to give:
  • dXt/dt = -(Cl/VD).Xt

  • This can be re-arranged to give:
  • dXt/dt = -Cl(Xt/VD)


  • As Xt represents an amount of drug at a given time (mg) and VD is a volume (ml), this gives the drug concentration (mg/ml)
  • The equation thus becomes:
  • dXt/dt = -Cl.C

  • I.e. the rate of elimination of the drug is equal to the clearance of the drug multiplied by its concentration

Maintenance infusion

  • In a one-compartment model, it is possible to calculate the rate of infusion required in order to maintain a given plasma concentration
  • In order to maintain a steady plasma concentration, the rate of infusion must equal the rate of elimination
  • As above, the rate of elimination is a product of the concentration of a drug and its clearance (C.Cl)
  • Therefore, rate of steady state infusion = desired concentration (mg/ml) x clearance (ml.min-1)